福建华侨大学怎么样_福建华侨大学录取分数线

新网编辑 文化百科 55

福建华侨大学怎么样?它是一所由中央统战部、国务院侨办与福建省共建的综合性大学,主校区位于泉州,厦门设有分校区,兼具侨校特色与工科优势。

福建华侨大学怎么样_福建华侨大学录取分数线-第1张图片-星辰妙记
(图片来源网络,侵删)

学校定位与历史沿革

华侨大学诞生于1960年,最初为服务东南亚华侨青年而设。经过六十余年发展,现已成为“国家重点扶持的侨校之一”,拥有博士、硕士、本科完整培养体系。

  • 泉州校区:承载厚重人文底蕴,建筑融合闽南红砖与南洋风格。
  • 厦门校区:2004年启用,现代化设施齐全,毗邻集美学村。

学科实力与特色专业

哪些专业值得报考?建筑学、旅游管理、华文教育是国家级特色专业;机械工程、材料科学、计算机进入ESI全球前1%。

  1. 建筑学:通过住建部专业评估,毕业生可直通一级注册建筑师考试。
  2. 华文教育:全国唯一以“华文”命名的本科专业,海外实习机会覆盖五大洲。
  3. 旅游管理:依托福建世界遗产资源,与万豪、洲际等集团共建实训基地。

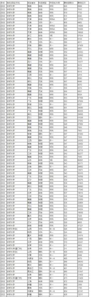
福建华侨大学录取分数线是多少

近三年在福建省内录取最低分(普通类物理组):

年份最低分位次
2023541约3.3万名
2022538约3.4万名
2021534约3.5万名

想读热门专业?建筑学需高出一本线60分左右,计算机类需高出50分


校园生活与国际化氛围

华侨大学有来自70多个国家与地区的留学生,每年举办“泼水节”“国际文化节”。

福建华侨大学怎么样_福建华侨大学录取分数线-第2张图片-星辰妙记
(图片来源网络,侵删)
  • 住宿:四人间空调独卫,泉州校区部分宿舍可俯瞰清源山。
  • 食堂:厦门校区有“网红”紫荆园餐厅,沙茶面、印尼炒饭等风味齐全。
  • 奖学金:境外生最高可获“林伟柬埔寨奖学金”全额学费减免。

就业与深造数据

2023届本科毕业生去向:

  • 就业率:92.4%,其中40%进入世界500强或中国500强
  • 升学率:25.8%,主要流向同济大学、香港理工大学、新加坡国立大学
  • 薪资:平均起薪7500元/月,计算机、建筑专业可达1万元/月

报考建议与常见疑问

Q:华侨大学对境外生政策如何?

A:境外生可凭SAT、ACT、A-Level或联招成绩申请,部分专业单独划线,奖学金覆盖率超60%。

Q:泉州和厦门校区怎么选?

A:看专业——建筑、土木、中文在泉州;计算机、金融、设计在厦门。两校区之间有1小时直达班车

Q:分数擦线会被调剂吗?

A:服从调剂且体检合格,通常会被调剂到旅游管理、公共管理类;不服从则存在退档风险。


学长学姐真实体验

“在厦门校区读计算机,最大的福利是每年暑假可赴澳门大学交流,还能申请到谷歌、腾讯的实习。”——2020级王同学

福建华侨大学怎么样_福建华侨大学录取分数线-第3张图片-星辰妙记
(图片来源网络,侵删)

“泉州校区的建筑系作业多到哭,但大三就能参与泉州古城改造项目,简历秒变高大上。”——2019级李同学


未来规划与新增项目

2025年起,华侨大学将启用福州长乐校区,聚焦集成电路、人工智能等前沿方向,预计新增2000个招生计划

发布评论 0条评论)

还木有评论哦,快来抢沙发吧~